Data Science Analysis of the Used Car Market
Methodology
The project follows a structured workflow:
- Data Preparation:
- Converted data types to their proper formats.
- Addressed missing values, duplicates, and outliers.
- Engineered features such as car age and mileage to enhance predictive power.
- Exploratory Data Analysis (EDA):
- Statistical Measures: Calculated measures of central tendency (mean, median) and spread (standard deviation, range).
- Distribution Analysis: Assessed skewness and kurtosis to understand data symmetry.
- Visualization Tools: Plots and heatmaps were used to identify relationships between numerical and categorical variables.
- Insights from Data Visualization:
- Car Age vs Selling Price: Newer cars fetch higher prices, indicating depreciation over time.
- Mileage vs Selling Price: Vehicles with better mileage command higher prices, reflecting buyer preference for fuel efficiency.
- Fuel Type vs Selling Price: Diesel cars are valued higher due to their superior mileage and efficiency.
- Seller Type vs Selling Price: Cars sold by certified dealers often have higher prices, reflecting trust in quality.
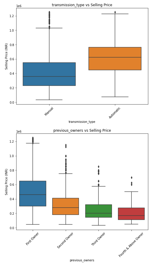
- Transmission Type vs Selling Price: Automatic vehicles command premium prices, likely due to higher manufacturing costs and demand.
- Correlation Analysis:
- Selling price strongly correlates with car_age, max_power (bhp), and torque (Nm), highlighting these as key factors in price prediction.
- Machine Learning Model Development:
- Applied linear regression to predict selling prices using significant features such as car age, engine capacity, max power, mileage, and fuel type.
- Used MinMaxScaler for feature scaling and cross-validation to ensure model reliability and prevent overfitting.
- Explored feature importance and engineered polynomial features for enhanced model performance.
- Model Evaluation:
- Cross-validation ensured robust performance across folds.
- Comparative analysis of predictions on training and test datasets validated model generalizability.
Key Insights
- Feature Importance:
- Key predictors for selling price include car_age, max_power (bhp), engine_capacity (cc), and torque (Nm).
- Categorical factors like fuel type and transmission type also significantly impact pricing.
- Trends:
- Depreciation: Selling price decreases as car age increases.
- Efficiency Matters: Buyers prefer cars with higher mileage and better fuel types, such as diesel.
- Transmission Preference: Automatic vehicles are priced higher than manual ones.
- Market Dynamics:
- First-owner cars are preferred, reflecting better condition and higher trustworthiness.
- Certified sellers (trustmark dealers) command higher prices compared to individual sellers.
Conclusion
- Objective: Analysis and prediction of used car prices using machine learning and statistical techniques.
- Key Tools: Python, Pandas, Matplotlib, Seaborn, Scikit-learn (Linear Regression, MinMaxScaler, Cross-Validation).
- Outcome: Developed a predictive model for car pricing and derived actionable insights into market trends, buyer preferences, and key pricing factors.
- Impact: Demonstrated a comprehensive workflow from data cleaning to advanced model development, showcasing proficiency in data science techniques.